Çorum’da, Kanun Hükmünde Kararname (KHK) ile ‘terör örgütleri’ne veya Milli Güvenlik Kurulu’nca devletin milli güvenliğine karşı faaliyette bulunduğuna karar verilen yapı, oluşum veya gruplara üyeliği, mensubiyeti veya iltisakı yahut bunlarla irtibatı olduğu iddia edilen kamu görevlilerinin işlerine Resmi Gazete’de yayımlanan listelerle son verildi.
BİR VALİ YARDIMCISI 3 KAYMAKAM
İhraç listesinde Çorum’dan Vali Yardımcısı Savaş Tuncer, İskilip Kaymakamı Şuayip Gürsoy, Osmancık Kaymakamı Cemalettin Demircioğlu ile Dodurga Kaymakamı Muhammet Emin Elmalı da yer aldı.
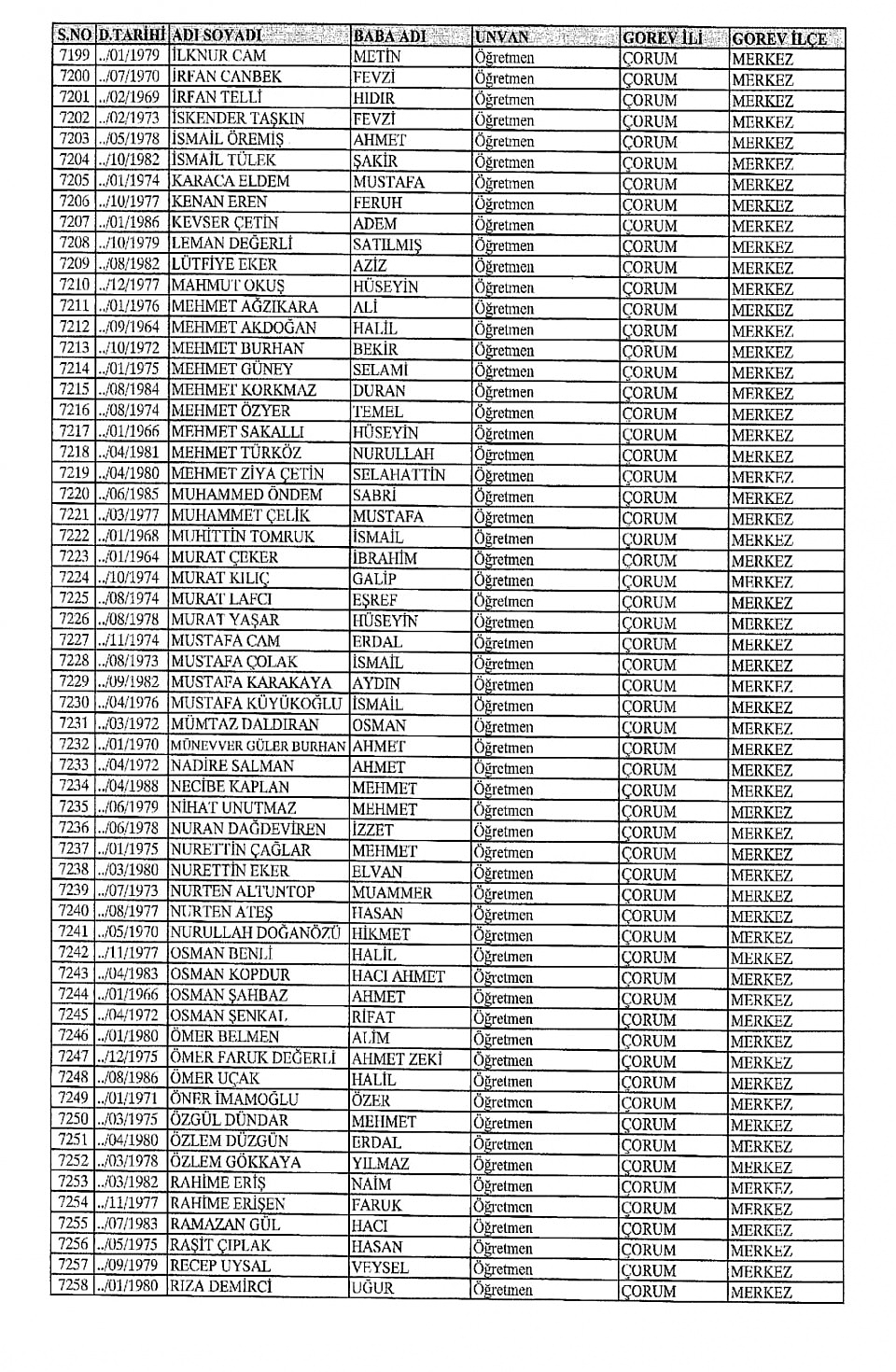
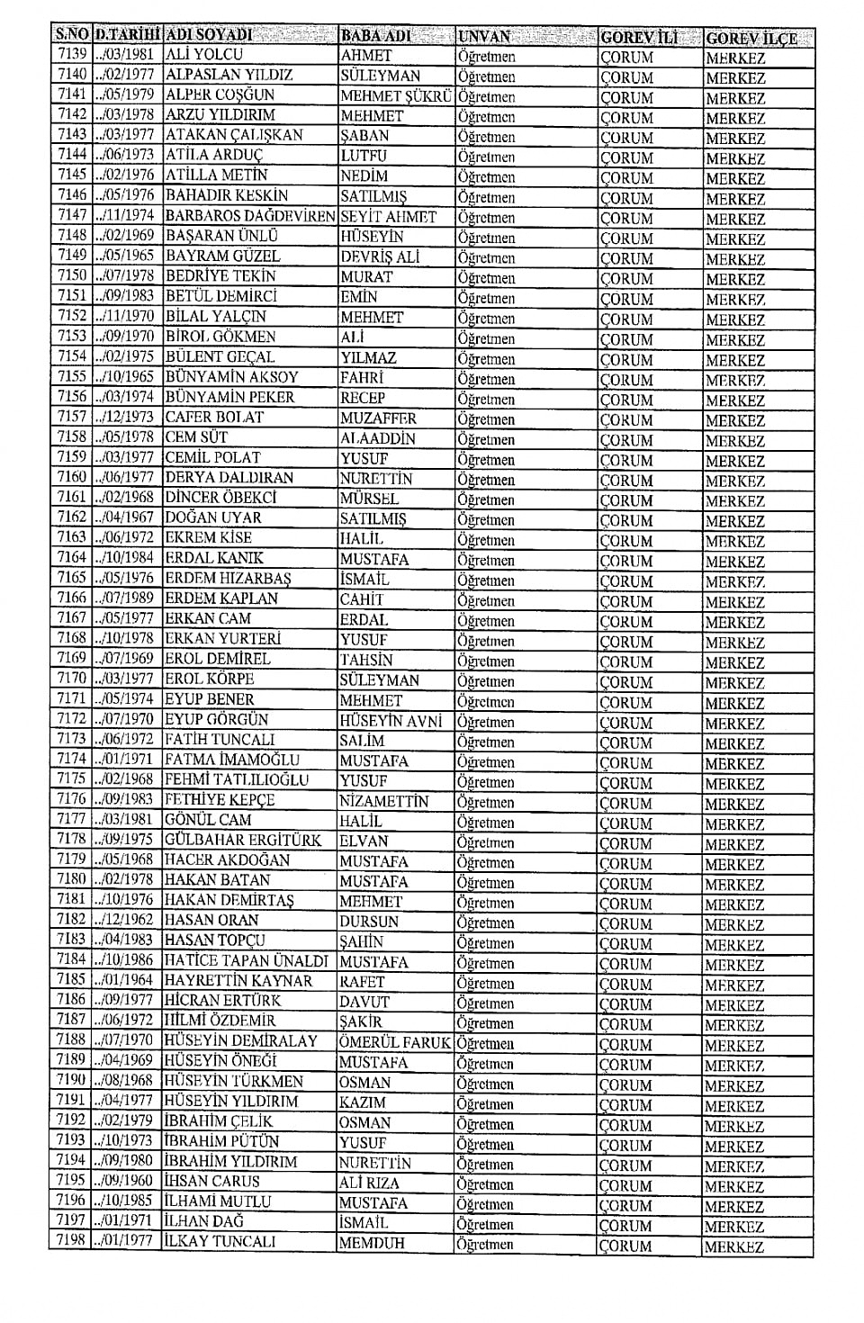
LİSTENİN BÜYÜK KISMI ÖĞRETMEN
Çorum’da farklı mesleklerden yüzlerce kişinin memuriyetleri yeni kararname ile son buldu. Kamudaki işlerine son verilenlerin büyük bölümünü öğretmenler oluşturdu.
İŞTE ÇORUM’DAKİ O İHRAÇ LİSTESİ
Süleyman Koca (MÜHENDİS)
Kemal Tahir Kocaoğlu (DOKTOR)
Muhammed Saadettin Fındık (SOSYAL GÜVENLİK UZMANI)
Mahmut Yıldız (SGİM)
Mustafa Tütüncü (SGİM)
Zafer Demirel (SGİM)
Hızır Murat Aksan (EĞİTİM UZMANI)
Mustafa Kızılkuş (VETERİNER)
Mustafa Selçuk Ahırzaman (MÜHENDİS)
Orhan Eroğlu (MÜHENDİS)
Selahattin Koca (MÜHENDİS)
Yasin Kayvan (MÜHENDİS)
Ahmet Faruk Helvacı (VETERİNER)
Arslan Arslan (MÜHENDİS)
Emre Sungurtekin (MÜHENDİS)
Fatih Topuz (MÜHENDİS)
Mehmet Ali Kizir (VETERİNER)
Şaban Çırlan (BİLGİSAYAR İŞLETMENİ)
Deniz Ünal (KONTROL İŞLETMENİ)
Ender Kadir Tuncay (GELİR UZMANI)
Sait Supandağı (ŞUBE MÜDÜRÜ)
Yunus Kurt (İMAM) ALACA
Hülya Altuğ (KURAN KURSU ÖĞRETİCİSİ) İSKİLİP
Sevim Hergül (VAİZ) KARGI
Murat Hombaç (İMAM) MECİTÖZÜ
Murat Şahin (VAİZ) MECİTÖZÜ
İbrahim Özer (İMAM) OSMANCIK
Erol Köseoğlu (ORTAKÖY İLÇE MÜFTÜSÜ)
Cengizhan Barut (CEZAEVİ VAİZİ)
Selahaddin Bozkurt (İL MÜFTÜ YARDIMCISI)
Adem Duru (İMAM)
Ali Osman Bilgi (İMAM)
Yunus Ay (İMAM)
Feride Oya Haklı (KURAN KURSU ÖĞRETİCİSİ)
Selma Sarıoğlu (KURAN KURSU ÖĞRETİCİSİ)
Hasan Bostancı (MÜEZZİN)


YORUMLAR